课题组在非厄米扭转光子晶格研究中取得重要进展
近期,课题组在非厄米扭转光子晶格研究中取得重要进展。相关研究成果以“Non-Hermitian twisted photonic lattices”为题,发表在Light Manipulation & Applications期刊。元晋鹏教授为论文的第一作者,汪丽蓉教授和陈刚教授为论文共同通讯作者,贾锁堂教授和肖连团教授为该工作提供了重要指导。
莫尔超晶格与扭曲体系,是通过在两个周期结构之间引入特殊的相对扭转形成的一种人工结构。这一结构推动了“扭转电子学(Twistronics)”新兴前沿研究方向的形成,呈现出快速发展的态势。在这类体系中,研究人员可以“人工设计”新型的准周期势与平带,使超导、关联绝缘态等凝聚态量子现象受到广泛关注。作为扭曲材料的光学类比,扭曲光子晶格为操控光与物质相互作用及实现莫尔诱导的光子效应提供了可调平台,包括局域化与非局域化转变、可重构激光、线性与非线性光束整形、平带以及拓扑传输等。
非厄米物理通常用于刻画包含增益与损耗的开放系统。由于这类系统能够展现宇称—时间(PT)对称破缺、奇异点以及非互易等非常规光学效应,因而在光子学领域受到广泛关注。在光学体系中,通过引入光学增益或损耗,来研究非厄米效应,并深入探索传统光子晶格的局域与非局域效应。原子体系凭借良好的相干性与高度可控性,为开展非厄米研究提供了理想平台。多能级原子结构不仅可以精确塑造介质的折射率分布,还能借助光场在空间上构建结构化的增益与损耗,从而为实现可调的非厄米光子晶格奠定基础。此外,利用相干原子系综将非厄米效应与扭曲晶格的几何结构相耦合,有望开辟超越传统体系的光场调控新途径,在厄米框架之外引入新的能带拓扑与局域行为,将拓展人们对光学能带与传输机制的理解。
研究团队以四能级N型原子系统为基础,结合拉曼增益与非相干驻波光场的扭转叠加手段,光学诱导出非厄米二维扭转光子晶格,从而实现了对增益—损耗的动态调控,并在动量空间观测到光的定向局域。理论上,团队系统模拟了不同参数条件下晶格的非厄米度及其能带结构。结果表明,随着非厄米度增加,能带在高对称M点附近出现简并,并伴随局域平带的形成;并在该对称点附近的动量空间分布中模拟出定向局域特征。在实验上,研究人员利用液晶空间光调制器将两束非相干光分别调制为一维驻波,并以夹角θ在空间旋转后叠加,形成二维莫尔型的空间结构。高斯型探测光将斜向激发特定的能带结构,并在电磁诱导透明效应的参数空间下,调控非厄米增益—损耗效应,其输出光场的动量空间图样展现出定向局域现象。
图1 (A) 非厄米扭曲光子晶格原理图。(B) 四能级N型85Rb原子能级图。(C) 晶格折射率的实部和虚部。
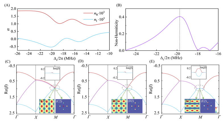
图2 非厄米引起的能带结构演化。(A) 增益格点的折射率实部和虚部随失谐的变化; (B) 系统非厄米度随失谐的演变; (C-E) 不同失谐条件下沿高对称线的能带结构。插图展示了M点周围能带结构的虚部,(C1-E1) M点的场分布,(C2-E2) 动量空间中的空间分布。
为进一步体现该非厄米扭转光子晶格的“瞬时可操控”特性,研究团队通过精确调节系统参数(如失谐与光功率),在实验中清晰观测到定向局域态的动态演化过程。值得注意的是,局域度随参数的变化趋势与增益—损耗系数的演化基本一致,表明定向局域的建立与非厄米增益/损耗调制密切相关。该定向局域态源于非厄米增益—损耗主导下形成的局域平带。由于平带具有无色散特性,其群速度接近零,光的传播被显著抑制,最终使输出光在动量空间中的强度分布由原本的二维对称衍射图样逐步“坍缩”为一维的定向局域态。这种可控转变表明,通过动态调节非厄米效应,可以在动量空间中实现可设计的定向光束缚。此外,研究团队将晶格扭转引入为新的调控自由度,实现了局域方向的动态可调。这些结果揭示了晶格几何扭曲与非厄米性之间的协同作用,使得二维光子系统中的光局域呈现出动态、可逆且具有角度依赖的特征。
图3. 控制光失谐驱动非局域到定向局域的转变。(A) 在不同控制光失谐下信号场动量空间图像的实验观测。(B)定向局域化因子的演变以及理论模拟的增益与损耗比随控制光失谐的变化。
图4. 扭转角控制局域化方向。(A) 扭转角θ ≠ 90°的非厄米扭转光子晶格示意图。(B) 在θ = 30°时折射率实部和虚部的模拟结果。(C) 不同扭转角θ的定向局域化因子随控制光失谐的变化情况。(D) 不同扭转角θ的动量空间图像的实验观测结果。
综上所述,该方案的创新性如下:一是利用两束非相干光场空间扭转叠加的方式,在电磁诱导透明效应条件下,实现非厄米扭转光子晶格的构建;二是通过合理操控系统参数,实现增益—损耗的有效控制;三是激光失谐和功率,以及扭转角等系统参数,可以动态调节定向局域的局域程度和方向。该工作揭示了扭转光子晶格的非厄米能带重构与几何扭曲之间的有趣相互作用机制,并为研究扭曲结构中的光操控提供了一个多功能平台。
该工作得到了科技部重点研发计划、国家自然科学基金、山西省“1331”工程重点学科建设基金、量子光学与光量子器件国家重点实验室以及省部共建极端光学协同创新中心的支持。
论文地址:https://doi.org/10.70401/lma.2026.0003
