The research group has made significant progress in the study of non-Hermitian twisted photonic lattices
Recently, the research group has made significant progress in the study of non-Hermitian twisted photonic lattices. The related research results were published in the journal Light Manipulation & Applications under the title "Non-Hermitian twisted photonic lattices". Professor Yuan Jinpeng is the first author of the paper, and Professors Wang Lirong and Chen Gang are the co-corresponding authors. Professors Jia Suotang and Xiao Liantuan provided important guidance for this work.
Moiré superlattices and twisted systems are artificial structures formed by introducing a special relative twist between two periodic structures. This structure has promoted the formation of the emerging frontier research direction of "twistronics" and is showing a rapid development trend. In such systems, researchers can "artificially design" new quasi-periodic potentials and flat bands, making condensed matter quantum phenomena such as superconductivity and correlated insulating states receive extensive attention. As the optical analog of twisted materials, twisted photonic lattices provide a tunable platform for manipulating the interaction between light and matter and achieving Moiré-induced photonic effects, including localization and delocalization transitions, reconfigurable lasers, linear and nonlinear beam shaping, flat bands, and topological transport.
Non-Hermitian physics is typically used to describe open systems that include gain and loss. Due to the fact that such systems can exhibit unconventional optical effects such as parity-time (PT) symmetry breaking, singularities, and non-reciprocity, they have received extensive attention in the field of photonics. In optical systems, by introducing optical gain or loss to study non-Hermitian effects and deeply explore the local and non-local effects of traditional photonic lattices, researchers can conduct research on non-Hermitian phenomena. Atomic systems, with their excellent coherence and high controllability, provide an ideal platform for conducting non-Hermitian research. Multi-level atomic structures can not only precisely shape the refractive index distribution of the medium but also construct structured gain and loss in space using the optical field, thus laying the foundation for the realization of tunable non-Hermitian photonic lattices. Additionally, coupling the non-Hermitian effect with the geometric structure of the distorted lattice using coherent atomic ensembles is expected to open up new pathways for optical field control beyond traditional systems, introduce new band topologies and local behaviors outside the Hermitian framework, and expand people's understanding of optical bands and transmission mechanisms.
The research team based on a four-level N-type atomic system, combined with Raman gain and the twisting superposition of incoherent standing wave optical fields, optically induced a non-Hermitian two-dimensional twisted photonic lattice, thereby achieving dynamic control of gain-loss and observing directional localization of light in momentum space. The team theoretically simulated the non-Hermitian degree and band structure of the lattice under different parameter conditions. The results showed that as the non-Hermitian degree increased, the band exhibited degeneracy near the high-symmetry M point, accompanied by the formation of localized flat bands; and in the momentum space distribution near this symmetry point, directional localization features were simulated. Experimentally, researchers used a liquid crystal spatial light modulator to modulate two incoherent beams into one-dimensional standing waves and superimpose them after rotating in space at an angle θ, forming a two-dimensional Moiré-type spatial structure. Gaussian-type probe light excited specific band structures at an oblique angle and controlled the non-Hermitian gain-loss effect in the parameter space of electromagnetic-induced transparency, and the momentum space pattern of the output optical field exhibited directional localization phenomena.

Figure 1 (A) Schematic diagram of non-Hermitian twisted photonic lattice. (B) Energy level diagram of N-type 85Rb atoms. (C) Real and imaginary parts of the lattice refractive index.

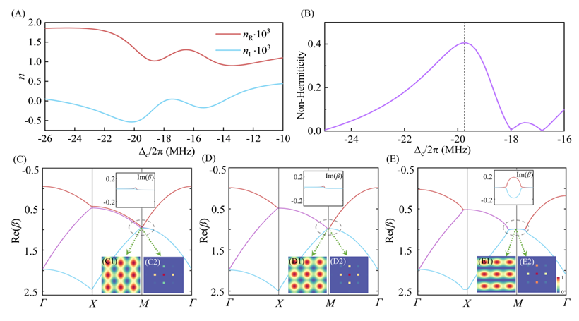
Figure 2 Evolution of the energy band structure caused by non-Hermiticity. (A) The real and imaginary parts of the refractive index of the gain lattice as a function of detuning; (B) The evolution of the non-Hermiticity of the system as a function of detuning; (C-E) The energy band structure along the high symmetry lines under different detuning conditions. The inset shows the imaginary part of the energy band structure around point M, (C1-E1) the field distribution at point M, (C2-E2) the spatial distribution in momentum space.
To further demonstrate the "instantaneous controllability" characteristic of this non-Hermitian twisted photonic lattice, the research team precisely adjusted the system parameters (such as detuning and optical power) and clearly observed the dynamic evolution process of the directional localized states in the experiment. It is worth noting that the trend of the degree of localization with the variation of parameters is basically consistent with the evolution of the gain-loss coefficient, indicating that the establishment of directional localization is closely related to the non-Hermitian gain/loss modulation. This directional localized state originates from the localized flat band formed under the dominance of non-Hermitian gain-loss. Due to the dispersionless characteristic of the flat band, its group velocity is close to zero, and the propagation of light is significantly suppressed, ultimately causing the intensity distribution of the output light in the momentum space to gradually "collapse" from the original two-dimensional symmetrical diffraction pattern to a one-dimensional directional localized state. This controllable transformation indicates that by dynamically adjusting the non-Hermitian effect, controllable directional light confinement can be achieved in the momentum space. Moreover, the research team introduced lattice twisting as a new control degree of freedom and achieved dynamic adjustment of the localized direction. These results reveal the synergistic effect between lattice geometric distortion and non-Hermitianity, enabling the light localization in two-dimensional photonic systems to exhibit dynamic, reversible, and angle-dependent characteristics.

Figure 3. The transformation from non-local to directional localization driven by control optical detuning. (A) Experimental observation of the momentum space images of the signal field under different control optical detunings. (B) Evolution of the directional localization factor and the variation of the gain-to-loss ratio in the theoretical simulation with respect to the control optical detuning.

Figure 4. Localization direction of torsion angle control. (A) Schematic diagram of non-Hermitian twisted photonic lattice with torsion angle θ ≠ 90°. (B) Simulation results of the real and imaginary parts of refractive index at θ = 30°. (C) Variation of the directional localization factor with the control light detuning for different torsion angles θ. (D) Experimental observation results of momentum space images for different torsion angles θ.
In summary, the innovation of this scheme is as follows: First, by using the spatial twisting superposition of two non-coherent optical fields under the condition of electromagnetic-induced transparency, a non-Hermitian twisted photonic lattice can be constructed; second, by reasonably controlling the system parameters, the gain-loss can be effectively controlled; third, the system parameters such as laser detuning and power, as well as the twisting angle, can be dynamically adjusted to regulate the degree and direction of the localized nature of the localized region. This work reveals the interesting interaction mechanism between the non-Hermitian energy band reconstruction and geometric distortion of the twisted photonic lattice, and provides a multifunctional platform for the study of optical manipulation in twisted structures.
This work has received support from the Key Research and Development Program of the Ministry of Science and Technology, the National Natural Science Foundation of China, the Key Discipline Construction Fund of Shanxi Province under the "1331" Project, the State Key Laboratory of Quantum Optics and Optical Quantum Devices, as well as the Collaborative Innovation Center for Extreme Optics jointly established by the provincial and ministerial departments.
Paper Address: https://doi.org/10.70401/lma.2026.0003
